February 27- March 3
English in Mind pages 4-7







Արեն Մնացականյան Միջին դպրոց 9.5
February 27- March 3
English in Mind pages 4-7







«Բոլոր մեծահասակները առաջ երեխա են եղել, միայն թե նրանցից քչերն են այդ բանը հիշում»: Էքզյուպերի
Լսի՛ր, տղա՛ս: Ես արտասանում եմ այս բառերը, երբ դու քնած ես. քո փոքրիկ ձեռքը դրված է այտիդ տակ, իսկ շիկահեր գանգուր մազերդ կպել են խոնավ ճակատիդ: Ես ծածուկ մտա քո սենյակ: Մի քանի րոպե առաջ, երբ նստած էի գրադարանում և լրագիր էի կարդում , ինձ վրա թափվեց զղջման ծանր ալիքը: Ես եկել եմ քո մահճակալի մոտ՝ գիտակցելով իմ մեղքը:
Ահա թե ինչի մասին էի մտածում, տղա՛ս. ես քո գլխին թափեցի իմ վատ տրամադրությունը:
Ես քեզ կոպտեցի, երբ դպրոց գնալու համար հագնվում էիր, քանի որ դու միայն թաց սրբիչը դեմքիդ քսեցիր: Ես քեզ նկատողություն արեցի կոշիկներդ չմաքրելու համար: Բարկացա, գոռացի քեզ վրա, երբ հագուստներիցդ մեկը հատակին նետեցիր:
Նախաճաշի ժամանակ նույնպես քեզ կշտամբեցի: Դու շրջեցիր թեյի բաժակը: Չափազանց հաստ շերտով կարագ քսեցիր հացին: Իսկ հետո, երբ գնացիր խաղալու, իսկ ես շտապում էի հասնել գնացքին, դու շրջվեցիր, ինձ ձեռքով արեցիր և բացականչեցիր. «Ցտեսությո՜ւն, հայրիկ», իսկ ես հոնքերս կիտեցի և պատասխանեցի. «Ուսերդ ուղղի՛ր»:
Այնուհետև օրվա վերջում ամեն ինչ նորից սկսվեց: Տուն վերադառնալիս նկատեցի քեզ, երբ ծունկի իջած գնդիկներով խաղ էիր անում: Քո գուլպաների վրա անցքեր կային: Ես քեզ նվաստացրի ընկերներիդ մոտ՝ ստիպելով տուն գնալ իմ առջևից: Գուլպաները թանկ արժեն, այ, եթե դու ստիպված լինեիր դրանք գնել սեփական դրամով, ապա ավելի կոկիկ կլինեիր: Դու միայն պատկերացրու տղա՛ս, որ դա ասել է քո հայրը…
Հիշո՞ւմ ես, թե դրանից հետո ինչպես մտար գրադարան, որտեղ ես կարդում էի՝ երկչոտ, տխուր: Երբ ես լրագրի վրայից թեթևակի քեզ նայեցի՝ գրգռված, որ ինձ խանգարել են, դու անվճռական կանգ առար դռան մոտ: «Ի՞նչ ես ուզում»,-կոպիտ հարցրի ես:
Դու ոչինչ չպատասխանեցիր, բայց կտրուկ նետվեցիր դեպի ինձ, վզովս ընկար և համբուրեցիր: Քո ձեռքերը սեղմում էին ինձ սիրով, որն Աստված դրել է քո սրտի մեջ և որը չվերացավ նույնիսկ իմ արհամարհական վերաբերմունքից: Այսպես ուրեմն, տղա՛ս, դրանից անմիջապես հետո լրագիրը սահեց իմ ձեռքերից, և ինձ համակեց ահավոր, նողկալի սարսափը: Ի՞նչ է արել ինձ սովորությունը: Կշտամբելու, նախատելու սովորությունը. Ահա իմ պարգևը քեզ այն բանի համար, որ դու փոքրիկ ես: Բայց չէ՞ որ չի կարելի ասել, որ ես քեզ չէի սիրում, ամբողջ բանն այն է, որ ես չափազանց շատ բան էի սպասում քո պատանեկությունից և չափում էի քեզ իմ սեփական տարիների չափանիշով:
Իսկ քո բնավորության մեջ այնքա՜ն առողջ, հրաշալի և անկեղծ բաներ կան: Քո փոքրիկ սիրտը նույնքան մեծ է, որքան արշալույսը հեռավոր բլուրների վրա: Դա արտահայտվեց քո բնազդական պոռթկման մեջ, երբ դու նետվեցիր ինձ համբուրելու՝ մինչև քնելու գնալդ: Այսօր ոչ մի բան այլևս նշանակություն չունի, տղա՛ս: Ես եկել եմ քո մահճակալի մոտ մթության մեջ և ամոթահար ծունկի եմ իջել քո առջև:
Սա չնչին քավություն է: Ես գիտեմ, որ դու դրանք չես հասկանա, եթե քեզ ասեմ այդ ամենը, երբ դու արթնանաս: Սակայն վաղը ես իսկական հայր կլինեմ: Ես կդառնամ քո ընկերը, կտառապեմ, երբ դու տառապես և կծիծաղեմ, երբ դու ծիծաղես: Ես կկծեմ լեզուս, երբ նրանից պատրաստ կլինի դուրս թռչելու որևէ գրգռված բառ: Ես շարունակ կկրկնեմ, որպես կախարդանքի խոսք՝ «Չէ որ նա ընդամենը երեխա է, փոքրիկ տղա»:
Վախենում եմ, որ մտովի քո մեջ հասուն տղամարդու եմ տեսել: Բայց հիմա, երբ տեսնում եմ քեզ, տղա՛ս, հոգնած կուչ եկած քո մահճակալում, ես հասկանում եմ, որ դու դեռ երեխա ես: Դեռ երեկ դու մորդ ձեռքերին էիր՝ գլուխդ դրած նրա ուսին: Ես չափազանց շատ բան էի պահանջում, չափազանց շատ…
Հարցեր և առաջադրանքներ
նողկալի- Զզվելի, գարշելի:
կշտամբել-Մեղադրել, պարսավել:
քավություն-Մեղքերի՝ զանցանքների ևն ներում՝ թողություն:
պարգև-նվեր
արշալույս-Արևածագ
նվաստացնել-Ստորացնել
երկչոտ-վախկոտ
ծածուկ-գաղտնի
խոնավ-թաց
տառապել-տանջվել
Այո, շատ անգամներ:
Իմ կարծիքով ոչ, որովհետև բացի երեխաների վրա գումար ծախսելուց կան ուրիշ բաներ,
Օրինակ՝
Երեխաներին տանել պարապմունքների:
Երեխաներին տանել դպրոց, և այլն:
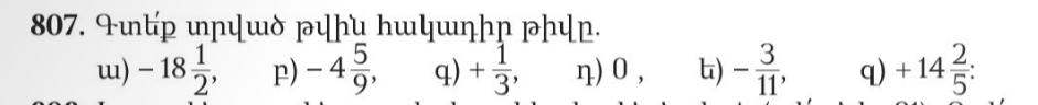
807, 808, 810, 811, 813,

Ա 18/1/2
Բ 4/5/9
Գ -1/3
Դ 0
Ե 3/11
Զ -14/2/5

A 1/2
D 1/3/4

Ա 65%
Բ Երկրորդ թեկնածուն
Գ 10%-ով ավելի
Դ 8%

Ա Ոչ
Բ Այո

Պատ.՝ 39
Тема урока: Сравнительная и превосходная степени прилагательных
Упражнение 1.Образуйте простую форму сравнительной степени прилагательных.
Красивый, приятный, счастливый, спокойный, удобный, ужасный, причудливый, привлекательный, презрительный, старый, искусный, свободный, дорогой, сухой, твёрдый, богатый, крутой, густой, простой, толстый, чистый, громкий, мелкий, сладкий, мягкий, лёгкий, ранний, старый, тонкий, плохой, хороший.
Упражнение 2
Про читайте отрывок из текста В. Белова. Выпишите прилагательные и образуйте простую превосходную степень.
Если не считать подснежную клюкву, то самой первой после зимы появляется в лесу земляника. Трудно даже представить, сколько людей воспитала эта самая ранняя, самая яркая, самая душистая, самая сладкая ягода! Именно воспитала, поскольку главное воспитание происходит в детстве.
ранняя-самая ранняя
яркая-самая яркая
душистая-самый душистый
сладкая-самый сладкый
главное-главнейшая
Упражнение 3.
Спишите пословицы, образовав простую сравнительную степень; обозначьте суффиксы и определите, каким членом предложения являются прилагательные в сравнительной степени.
Правда (светлый) солнца.
Старый друг (лучший) двух.
Утро вечера (мудреный).
Здоровье ( дорогой ) золота.
Дождливое лето (плохой) осени.
Правда светлее солнца.
Старый друг лучше двух.
Утро вечера мудренее.
Здоровье дороже золота.
дождливое лето хуже осени.
Դաս 2
ՀԱՅՈՑ ԹԱԳԱՎՈՐՈՒԹՅՈՒՆՆԵՐԸ Ք.Ա. ԵՐՐՈՐԴ ԴԱՐՈՒՄ
հարցեր
Ք.ա. երրորդ դարի վերջին Հայաստանը թուլացել էր: Դա նպաստավոր պայմաններ ստեղծեց Սելևկյանների վաղեմի ծրագրի իրագործման համար, ինչին նպաստեց նաև հայերի ներքին պառակտվածությունը: Ք.ա 201 թ Սելևկյան արքա Անտիոքոս երրորդ-ի զորքերը հայազգի զորավարներ Արտաշեսի և Զարեհի գլխավորությամբ արշավեցին հայաստան:
Որովհետև այդ ժամանակ Հայաստանը թուլացել էր:
Աղբյուրներ
https://online.fliphtml5.com/fumf/qovw/#p=74
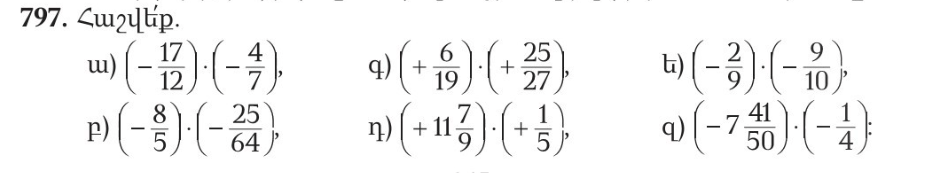
Ռացիոնալ թվերի բազմապատկումն ու բաժանումը

Ա) 17/21
Բ) 5/8
Գ) 50/171
Դ) 106/45
Ե) 1/5
Զ) 391/200

Ա)-9/14
Բ) -64/27
Գ) -14/27
Դ) -45/74




Առաջադրանքներ 2.












Դաս 1
ՀԱՅԿԱԶՈՒՆԻ ԵՐՎԱՆԴՈՒՆԻՆԵՐԻ ԹԱԳԱՎՈՐՈՒԹՅԱՆ ՎԵՐԱԿԱՆԳՆՈՒՄԸ
Աղբյուրներ
Դասագիրք, էջ 68-71
https://online.fliphtml5.com/fumf/qovw/#p=69
16. Տրված բառերից առանձնացրո’ւ հոմանշային զույգեր:
Ա.Շրջել, խորհրդածել, կողոպտել, խենթանալ, արտասվել, մտածել, գողանալ, ցնորվել,
մտորել,շրջագայել, հափշտակել, մտմտալ, թալանել, խելագարվել, խորհել, հեկեկալ,
ցնդել, հեծկլտալ, ողբալ, հիմարանալ, գռփել, թափառել, լալ, գժվել, պտտել:
Շրջել-պտտել, խորհրդածել-մտածել-մտորել, կողոպտել-գողանալ-հապշտակել-գռփել, խենթանալ-հիմարանալ, -խելագարվել-ցնդել-գժվել-ցնորվել, արտասվել-լալ-ողբալ-հեկեկալ-կեծկլտալ, մտածել-խորհել, շրջագայել-թափառել:
Բ.Կազմե’լ երկուական պատմողական, հարցական, հրամայական,բացականչական նախադասություններ։
Պատմողական նախադասություն
Առավոտյան նապաստակը գնաց քայլելու։
Երեխաները գիշերը վախենում էին։
Հարցական նախադասություն
Դու քնել էիր գիշե՞րը։
Առավոտյան հաց կերե՞լ ես;
Բացականչական նախադասություն
Այ՜ո, դասերը սկսվեցին։
Ջա՜ն, ընկերուհիս մեզ հյուր եկավ։
Հրամայական նախադասություն
Ինձ համար ճաշ պատրաստի՝ր։
Հագուստս բե՝ր։
17.Տրված ածանցներով կազմել ածանցավոր բառեր-։
Ան- Անամոթ,
Ապ- ապորինի,
Դժ- դժգոհ, դժվարին
Տ- տնային
Չ- չկամեցող
-Ական -նյութական
-Ային- Մրգային
-Որեն – Քնքշորեն, մեղմորեն:
-Ություն -ապշություն
18. Գրել բայեր և համապատասխան ածանցներ ավելացնելով դրանք դարձնել գոյականներ, օրինակ՝ գրել-գրիչ։
Սանրել-սանր
կախել-կախիչ
նստել-նստարան
փակել-փակ
բացել-բաց
մտնել-մուտք
19. Բաց թողնված տառերը լրացրո՛ւ։ Մեռյալ ծովի ջուրն այնքան աղի է, որ այնտեղ ոչ մի կենդանի էակ չի կարող ապրել: Արևմտյան Ասիայի տտոթակեզ անանձրև կլիմայի պատճառով անչափ շատ ջուր է գոլորշիանում ծովի մակերևույթից, իսկ լուծված աղերը մնում են ծովում ու մեծացնում ջրի աղիությունը: Ծովում խորանալուն զուգընթաց` աղիություը աճում է: Աղերը Մեռյալ ծովի քանորդ մասն են կազմում, նրա մեջ աղերի ընդհանուր քանակը քառասուն միլոն տոննա է:



Listen to a conversation in a shop to practise and improve your listening skills.
English in Mind, page 2
Read the letter and write your reply to the email
February 13-17
English in Mind, pages 51, 52
I’d like, Would you like? exercises c, b

Thank you for hospitality. My name is Aren. I am 10 years old. I am from Armenia. I am a student. I study in the 6th grade. I like to play chess. I am an international rating player. I like to play basketball. I like to eat sushi, burgers, K.F.C wings. I would like to walk a lot in London,to see piqturesque places. I am very happy that you have a dog, because I also have a dog. I love animals very much. But my favorite animal is panda the bear.
12.Տեքստը համառոտի՛ր ։
Երկու ընկեր անապատով գնում էին:
Ընկերներից մեկը ծարավից թուլացավ, ընկավ: Իսկ մյուսը, որի մոտ ջուր կար, ոչ օգնեց ընկերոջը, ոչ էլ նույնիսկ ջուր տվեց: Թողեց, հեռացավ: Աղետյալը վերջին շնչում ընկած մնաց:
Բարեբախտաբար եկավ, մի քարավան հասավ այդտեղ: Մարդիկ կիսամեռ տղային գտան, ջուր տվեցին ու նրան ուշքի բերեցին:
Տղան, նորից առույգացած, շարունակեց ճամփան:
Գնա՜ց, գնա՜ց, հասավ ընկերոջը: Բան չասաց, լուռումունջ շարունակեց ճամփան:
Երբ լեռնոտ մի կածանով էին անցնում, ջուր չտվող ընկերը սայթաքեց, ընկավ ու չկարողացավ ոտքի կանգնել: Ոտքը կոտրվել էր:
Ընկերը նրան շալակն առավ, մեծ դժվարությամբ տարավ հայրենի քաղաքը, հասցրեց տուն, կնոջ մոտ: Ու հրաժեշտ տվեց.
-Է՜հ, մնաս բարով, եղբա՛յր: Քանի կանք, դու մարդկանց քո ջրից պատմիր, ես՝ իմ շալակից:
Երկու ընկեր անապատով գնում էին: Ընկերներից մեկը թուլացավ ընկավ,մյուսը թողեց հեռացավ։Մի քարավան հասավ այդտեղ,և ուշքի բերեցին տղային։Տղան շարունակեց ճանապարհը և հասավ ընկերոջը։Երբ լեռնոտ մի կածանով էին անցնում, ջուր չտվող ընկերը սայթաքեց, ընկավ ու չկարողացավ ոտքի կանգնել:Ընկերը նրան շալակն առավ,հասցրեց տուն:
Հրաշեժտ տալուց ասաց․
-Է՜հ, մնաս բարով, եղբա՛յր: Քանի կանք, դու մարդկանց քո ջրից պատմիր, ես՝ իմ շալակից:
13. Տեքստը փոխադրի՛ր` ուղղակի խոսքեր ավելացնելով:
Անցյալ դարի վերջին վիեննացի աստղագետ Պալիսը հայտնաբերեց նոր աստղակերպ: Գիտնականն աստղագիտական հզոր գործիքներ ձեռք բերելու միջոցներ չուներ: Նա հայտարարեց, որ վաճառում է նոր երկնային մարմնին անուն տալու իրավունքը: Իսկույն հայտնվեց գնորդը: Դա բարոն Ալբերտ ֆոն Ռոտշիլդն էր: Միլիոնատիրոջ ցանկությամբ աստղակերպն անվանվեց նրա կնոջ՝ Բետինայի անունով:
14.Ապրել բայն համապատասխան փոփոխության ենթարկի’ր եւ գրի’ր կետերի փոխարեն։
Նրա ՝ապրելու երկար ու ձիգ տարիների մասին ընդամենը մի երկու նախադասություն կարելի է պատմել:Գետափին՝ զով ծառերի ստվերում ապրելով, հիշում էր իր անապատը, խանձված ավազը:Կարտոֆիլի արտում ապրելով բզեզն արագ բազմանում է ու շարժվում առաջ՝ նոր տարածություններ գրավելու:Ուզում էր քաղաքից դուրս ու մենակ ապրեր՝ հեռու մի դաշտում:
Եթե մի երկու ամիս էլ ապրեք այս խոնավ ու անարև երկրում, բոլորովին կմոռանա՞ք մեր գյուղը:
Մի քանի օր այստեղ կապրի ու կտեսնի, թե ի՞նչ դժվար է օրվա հոգսը հոգալը:Այստեղ ապրելու ուրիշ ելք չունեմ:
Դու երկար ես ապրել այս աշխարհում ու շատ բան ես տեսել, ինձ մի խորհուրդ տո՛ւր:
15.Հետևություն արա՝ կարդալով հետևյալ առակը.
Մի անգամ մի մարդ է գալիս իմաստուն արքայի մոտ և հարցնում է.
— Ասա ինձ, տիրակալ, աշխարհում կա՞ ազատություն:
— Իհարկե,- ասում է արքան:- Դու քանի՞ ոտք ունես:
Մարդը նայում է իրեն` զարմացած նման հարցից:
— Երկուսը, տիրակալ:
— Իսկ դու կարո՞ղ ես կանգնել մեկ ոտքի վրա:
— Կարող եմ:
— Դե փորձիր, բայց սկզբում որոշիր, թե որ ոտքի վրա…
Մարդը մի փոքր խորհելով` բարձրացնում է աջ ոտքը` հենվելով ձախի վրա:
— Լավ,- ասում է արքան,- իսկ հիմա բարձրացրու նաև մյուս ոտքդ:
— Ինչպե՞ս: Դա անհնար է, տիրակալ:
— Տեսնու՞մ ես: Ահա հենց դա է ազատությունը: Դու ազատ ես միայն առաջին որոշման
ժամանակ, իսկ հետո ազատությունն ավարտվում է:
Մարդն ունի ազատություն, բայց դա չի նշանակում, որ ինչ ուզի կարող է անել: